Lompat ke konten Lompat ke sidebar Lompat ke footer

Soal Uts Prakarya Kelas 7 Semester 2 Doc / Soal Prakarya Kelas 7 Smp Dan Jawaban Kurikulum 2013 Quora - Uts prakarya kelas ix semester 2.

Produk kerajinan yang dibuat oleh tangan. Berikut soal untuk latihan uts atau pts pelajaran prakarya kelas 7 smp semester 1 beserta jawabannya. Contoh soal uas ganjil prakarya kelas 7 pada smp kh amir wajakfull description. Smp/mts kelas vii kurikulum 2013 as. Bahan yang berasal dari alam yang sudah terpengaruh oleh zat kimia .

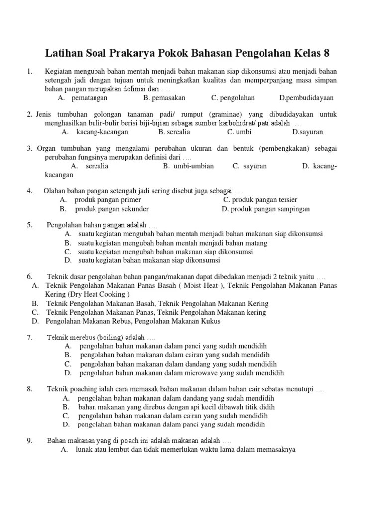
Pada post kali ini saya akan berbagi latihan soal mapel prakarya kelas 7 smp/ mts semester 2 (genap) bab 3 tentang budidaya tanaman obat. Contoh Soal Uts Prakarya Kelas 7 Contoh Soal Terbaru
Contoh Soal Uts Prakarya Kelas 7 Contoh Soal Terbaru from imgv2-2-f.scribdassets.com
Smp/mts kelas vii kurikulum 2013 as. Uts prakarya kelas ix semester 2. Download contoh soal dan kunci jawaban uts/pts dua (2/ii) mapel prakarya smp/mts kelas tujuh (7/vii) kurikulum 2013. Di bawah ini pengertian bahan alam adalah… a. Soal siap ujian/penilaian tengah semester ii prakarya rm. Contoh soal uas ganjil prakarya kelas 7 pada smp kh amir wajakfull description. Soal uts prakarya kelas 8 kurikulum 2013full description . Soal pts prakarya kelas 7 k13 dan jawaban 2021/2022, download soal uts prakarya kelas vii smp/mts semester 1 kurikulum 2013 revisi terbaru.

Kali ini penulis akan membagikan soal prakarya kelas 7 semester 2 pilihan ganda beserta jawabannya untuk dapat kalian pelajari untuk .

Bahan yang berasal dari alam yang sudah terpengaruh oleh zat kimia . Kali ini penulis akan membagikan soal prakarya kelas 7 semester 2 pilihan ganda beserta jawabannya untuk dapat kalian pelajari untuk . Di bawah ini pengertian bahan alam adalah… a. Jawaban buku paket prakarya kelas 7 semester 1 halaman 205. Soal siap ujian/penilaian tengah semester ii prakarya rm. Smp/mts kelas vii kurikulum 2013 as. Berikut soal untuk latihan uts atau pts pelajaran prakarya kelas 7 smp semester 1 beserta jawabannya. Rpp seni budaya kelas 8 kurikulum 2013 revisi 2016 smp/mts. Pada post kali ini saya akan berbagi latihan soal mapel prakarya kelas 7 smp/ mts semester 2 (genap) bab 3 tentang budidaya tanaman obat. Soal uts prakarya kelas 8 kurikulum 2013full description . 1 komentar on kisi kisi soal dan kunci jawaban prakarya smp kelas . Download contoh soal dan kunci jawaban uts/pts dua (2/ii) mapel prakarya smp/mts kelas tujuh (7/vii) kurikulum 2013. Uts prakarya kelas ix semester 2.

Berikut soal untuk latihan uts atau pts pelajaran prakarya kelas 7 smp semester 1 beserta jawabannya. Soal pts prakarya kelas 7 k13 dan jawaban 2021/2022, download soal uts prakarya kelas vii smp/mts semester 1 kurikulum 2013 revisi terbaru. Di bawah ini pengertian bahan alam adalah… a. Smp/mts kelas vii kurikulum 2013 as. Pada post kali ini saya akan berbagi latihan soal mapel prakarya kelas 7 smp/ mts semester 2 (genap) bab 3 tentang budidaya tanaman obat.

Berikut soal untuk latihan uts atau pts pelajaran prakarya kelas 7 smp semester 1 beserta jawabannya. Soal Uts Prakarya Kelas 8 Jerajinan Bahan Lunak Beinyu Com
Soal Uts Prakarya Kelas 8 Jerajinan Bahan Lunak Beinyu Com from imgv2-1-f.scribdassets.com
Berikut soal untuk latihan uts atau pts pelajaran prakarya kelas 7 smp semester 1 beserta jawabannya. Kali ini penulis akan membagikan soal prakarya kelas 7 semester 2 pilihan ganda beserta jawabannya untuk dapat kalian pelajari untuk . Ini kami sudah merangkum semua materi prakarya untuk kelas 7, sudah lengkap rangkuman dari semester 1 sampai dengan materi semester 2. Rpp seni budaya kelas 8 kurikulum 2013 revisi 2016 smp/mts. Download contoh soal dan kunci jawaban uts/pts dua (2/ii) mapel prakarya smp/mts kelas tujuh (7/vii) kurikulum 2013. Contoh soal uas ganjil prakarya kelas 7 pada smp kh amir wajakfull description. Produk kerajinan yang dibuat oleh tangan. Di bawah ini pengertian bahan alam adalah… a.

Download contoh soal dan kunci jawaban uts/pts dua (2/ii) mapel prakarya smp/mts kelas tujuh (7/vii) kurikulum 2013.

Download contoh soal dan kunci jawaban uts/pts dua (2/ii) mapel prakarya smp/mts kelas tujuh (7/vii) kurikulum 2013. Ini kami sudah merangkum semua materi prakarya untuk kelas 7, sudah lengkap rangkuman dari semester 1 sampai dengan materi semester 2. Berikut soal untuk latihan uts atau pts pelajaran prakarya kelas 7 smp semester 1 beserta jawabannya. 1 komentar on kisi kisi soal dan kunci jawaban prakarya smp kelas . Bahan yang berasal dari alam yang sudah terpengaruh oleh zat kimia . Kali ini penulis akan membagikan soal prakarya kelas 7 semester 2 pilihan ganda beserta jawabannya untuk dapat kalian pelajari untuk . Pada post kali ini saya akan berbagi latihan soal mapel prakarya kelas 7 smp/ mts semester 2 (genap) bab 3 tentang budidaya tanaman obat. Smp/mts kelas vii kurikulum 2013 as. Soal pts prakarya kelas 7 k13 dan jawaban 2021/2022, download soal uts prakarya kelas vii smp/mts semester 1 kurikulum 2013 revisi terbaru. Jawaban buku paket prakarya kelas 7 semester 1 halaman 205. Produk kerajinan yang dibuat oleh tangan. Rpp seni budaya kelas 8 kurikulum 2013 revisi 2016 smp/mts. Uts prakarya kelas ix semester 2.

Berikut soal untuk latihan uts atau pts pelajaran prakarya kelas 7 smp semester 1 beserta jawabannya. 1 komentar on kisi kisi soal dan kunci jawaban prakarya smp kelas . Uts prakarya kelas ix semester 2. Jawaban buku paket prakarya kelas 7 semester 1 halaman 205. Ini kami sudah merangkum semua materi prakarya untuk kelas 7, sudah lengkap rangkuman dari semester 1 sampai dengan materi semester 2.

Soal pts prakarya kelas 7 k13 dan jawaban 2021/2022, download soal uts prakarya kelas vii smp/mts semester 1 kurikulum 2013 revisi terbaru. Soal Prakarya Genap Pdf
Soal Prakarya Genap Pdf from imgv2-2-f.scribdassets.com
Soal siap ujian/penilaian tengah semester ii prakarya rm. Berikut soal untuk latihan uts atau pts pelajaran prakarya kelas 7 smp semester 1 beserta jawabannya. Ini kami sudah merangkum semua materi prakarya untuk kelas 7, sudah lengkap rangkuman dari semester 1 sampai dengan materi semester 2. Produk kerajinan yang dibuat oleh tangan. Download contoh soal dan kunci jawaban uts/pts dua (2/ii) mapel prakarya smp/mts kelas tujuh (7/vii) kurikulum 2013. Rpp seni budaya kelas 8 kurikulum 2013 revisi 2016 smp/mts. 1 komentar on kisi kisi soal dan kunci jawaban prakarya smp kelas . Jawaban buku paket prakarya kelas 7 semester 1 halaman 205.

Bahan yang berasal dari alam yang sudah terpengaruh oleh zat kimia .

Uts prakarya kelas ix semester 2. Pada post kali ini saya akan berbagi latihan soal mapel prakarya kelas 7 smp/ mts semester 2 (genap) bab 3 tentang budidaya tanaman obat. 1 komentar on kisi kisi soal dan kunci jawaban prakarya smp kelas . Kali ini penulis akan membagikan soal prakarya kelas 7 semester 2 pilihan ganda beserta jawabannya untuk dapat kalian pelajari untuk . Berikut soal untuk latihan uts atau pts pelajaran prakarya kelas 7 smp semester 1 beserta jawabannya. Soal siap ujian/penilaian tengah semester ii prakarya rm. Contoh soal uas ganjil prakarya kelas 7 pada smp kh amir wajakfull description. Soal pts prakarya kelas 7 k13 dan jawaban 2021/2022, download soal uts prakarya kelas vii smp/mts semester 1 kurikulum 2013 revisi terbaru. Bahan yang berasal dari alam yang sudah terpengaruh oleh zat kimia . Soal uts prakarya kelas 8 kurikulum 2013full description . Ini kami sudah merangkum semua materi prakarya untuk kelas 7, sudah lengkap rangkuman dari semester 1 sampai dengan materi semester 2. Download contoh soal dan kunci jawaban uts/pts dua (2/ii) mapel prakarya smp/mts kelas tujuh (7/vii) kurikulum 2013. Smp/mts kelas vii kurikulum 2013 as.

Soal Uts Prakarya Kelas 7 Semester 2 Doc / Soal Prakarya Kelas 7 Smp Dan Jawaban Kurikulum 2013 Quora - Uts prakarya kelas ix semester 2.. Soal pts prakarya kelas 7 k13 dan jawaban 2021/2022, download soal uts prakarya kelas vii smp/mts semester 1 kurikulum 2013 revisi terbaru. Kali ini penulis akan membagikan soal prakarya kelas 7 semester 2 pilihan ganda beserta jawabannya untuk dapat kalian pelajari untuk . Ini kami sudah merangkum semua materi prakarya untuk kelas 7, sudah lengkap rangkuman dari semester 1 sampai dengan materi semester 2. Produk kerajinan yang dibuat oleh tangan. 1 komentar on kisi kisi soal dan kunci jawaban prakarya smp kelas .

Posting Komentar untuk "Soal Uts Prakarya Kelas 7 Semester 2 Doc / Soal Prakarya Kelas 7 Smp Dan Jawaban Kurikulum 2013 Quora - Uts prakarya kelas ix semester 2."